α β γ Tan





If Tan Alpha Beta Gamma Tan Alpha Beta Gamma Tangamma

If Tan Alpha Beta Gamma Tan Alpha Beta Gamma Tangamma

数ii 加法定理 Tan A B G 1 Youtube

数ii 加法定理 Tan A B G 1 Youtube

If Alpha Beta Gamma 2pi Then A Tanalpha 2 Tan Beta 2

If Alpha Beta Gamma 2pi Then A Tanalpha 2 Tan Beta 2

Solved If Alpha Beta Gamma Pi Show That Tan Alpha

Solved If Alpha Beta Gamma Pi Show That Tan Alpha

Simple Trigonometric Substitutions With Broad Results Pdf Free

Simple Trigonometric Substitutions With Broad Results Pdf Free

If Alpha Beta Gamma Pi Show That Tan Beta Gamma Alpha

If Alpha Beta Gamma Pi Show That Tan Beta Gamma Alpha

If Alpha Beta Gamma Pi Show That Tan Beta Gamma Alpha

Solved Refer To The Figure Show That Alpha Beta Gamm

Solved Refer To The Figure Show That Alpha Beta Gamm

9 If A B And B 7 A Then Tan A Equals Jee 2001 Screening

9 If A B And B 7 A Then Tan A Equals Jee 2001 Screening

Solved 63 Refer To The Figure Show That Alpha Beta

Solved 63 Refer To The Figure Show That Alpha Beta

If Tan Alpha Beta Gamma Tan Alpha Beta Gamma Tangamma

If Tan Alpha Beta Gamma Tan Alpha Beta Gamma Tangamma

If A B C K Are Real Constants And Alpha Beta

If A B C K Are Real Constants And Alpha Beta

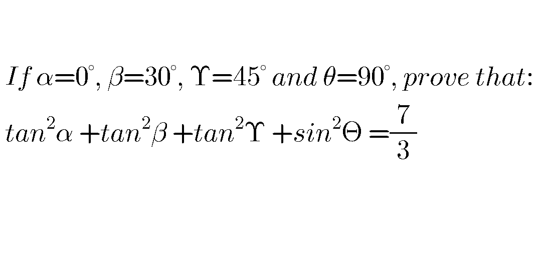
If A 0 B 30 G 45 And 8 90 Prove Tan 2 A Tan 2 B Tan 2 G

If A 0 B 30 G 45 And 8 90 Prove Tan 2 A Tan 2 B Tan 2 G

Let Alpha Beta Gamma 0 And Alpha Beta Gamma Pi 2 Statement 1

Let Alpha Beta Gamma 0 And Alpha Beta Gamma Pi 2 Statement 1

If A B P 2 And B G A Then Tan A Is Equal To Sarthaks

If A B P 2 And B G A Then Tan A Is Equal To Sarthaks

Simple Trigonometric Substitutions With Broad Results Pdf Free

Simple Trigonometric Substitutions With Broad Results Pdf Free

数ii 三角関数 Tanの加法定理 A B Gを求めよ Youtube

数ii 三角関数 Tanの加法定理 A B Gを求めよ Youtube

A B Gは鋭角で Tana 2 Tanb 5 Tang 8のとき A B Gを求め Clear

A B Gは鋭角で Tana 2 Tanb 5 Tang 8のとき A B Gを求め Clear

Q If A B And G Are Positive Active Angles Such That Tex Sin

Q If A B And G Are Positive Active Angles Such That Tex Sin

Solved Refer To The Figure Show That Alpha Beta Gamm

Solved Refer To The Figure Show That Alpha Beta Gamm

32 If Alpha Beta Frac Pi 2 And

32 If Alpha Beta Frac Pi 2 And